El monto de la cuota mensual es fijo, a excepción de la primera cuota. Las cuotas vencen el último día hábil de cada mes a partir del mes siguiente de aprobación de la solicitud.
La cuota no podrá ser menor al 5% de la UIT vigente al momento de aprobar la solicitud.
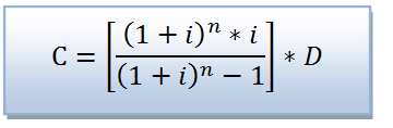
Asimismo, las cuotas constantes están formadas por los intereses del fraccionamiento decrecientes y la amortización creciente con excepción de la primer y última cuota, se determina de acuerdo a la siguiente formula:

C= Cuota Constante.
D= Deuda tributaria materia de aplazamiento y/o fraccionamiento.
i = Interés mensual del fraccionamiento 80% de la TIM.
n= Número de meses del fraccionamiento.